近日,江苏省教育厅公布2022年江苏省优秀博士硕士学位论文评选结果。由我院黄健飞老师指导,2021届硕士毕业生张静娜撰写的论文《多项时空分数阶偏微分方程的数值算法》获评2022年江苏省优秀学术学位硕士学位论文。


本论文在微积分方程等价形式和直接形式的基础上,对四类多项分数阶偏微分方程初边值问题进行了数值方法的研究,得到了多种高效、超线性收敛的数值方法;进一步,在解析解的光滑性要求降低的情况下,引进了多种数值离散和处理技术来确保原有数值方法的收敛阶保持不变;最后,本论文中每种数值方法的理论分析结果都通过数值算例得到了验证。

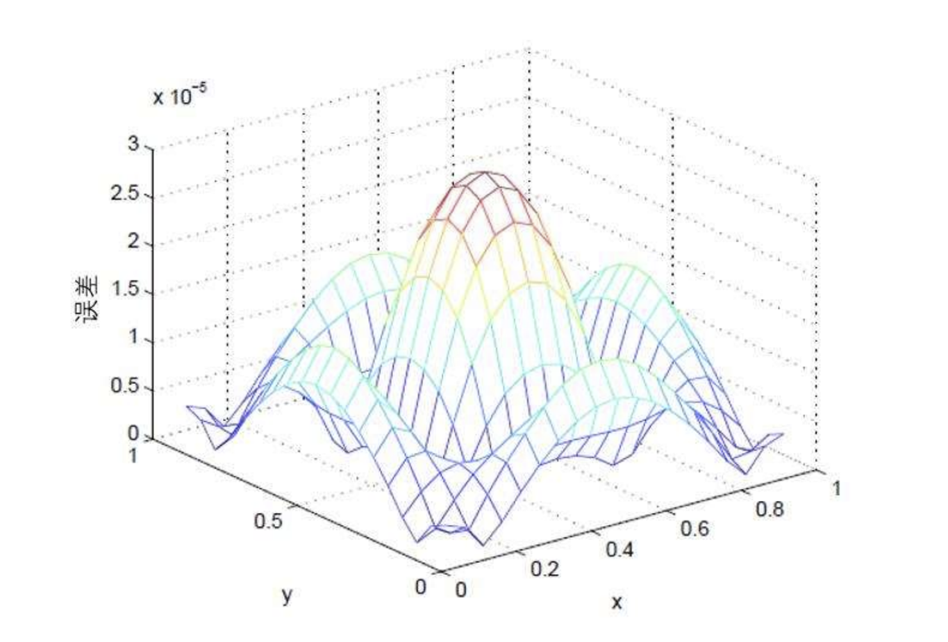
当T=1时取α=1.7和β=1.1时的步长为τ=h=1/20精确解和数值解的点态误差面
此次研究生优秀学位论文入选,既是对我院研究生培养质量的肯定,也是对优秀指导教师和同学的鼓励,更是对我院未来研究生培养提出了新的要求。我院将继续认真落实立德树人根本任务,不断深化研究生教育教学改革,加强学科交叉融合,抓紧抓实抓细研究生培养全过程指导和管理,注重创新精神和创新能力培养,扎实推进研究生教育内涵式发展,整体提升人才培养质量。